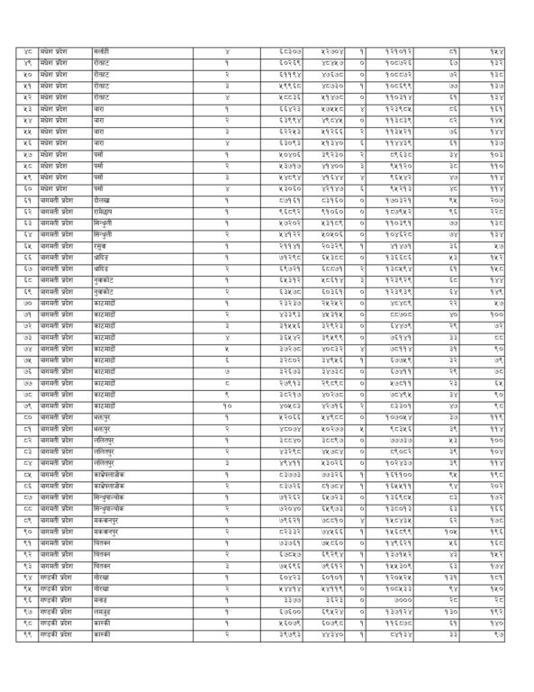
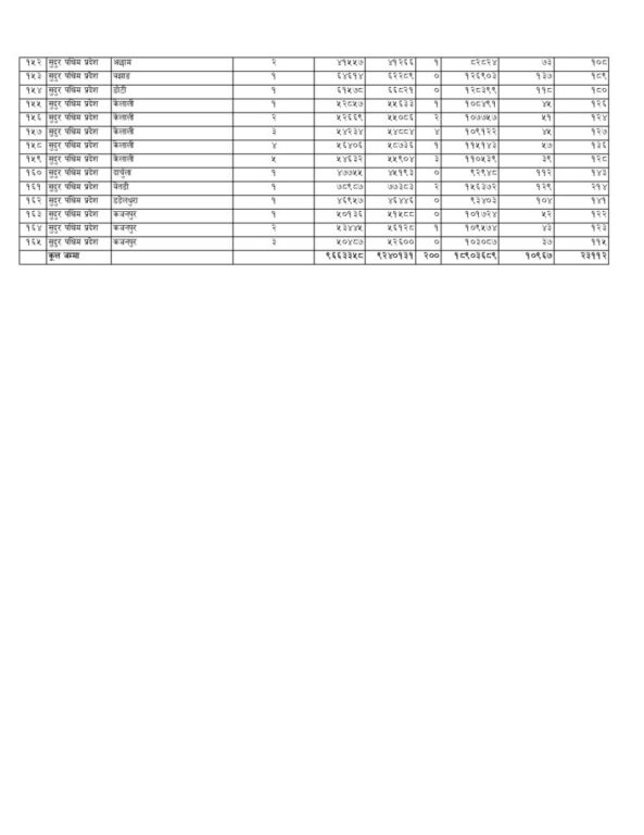
काठमाण्डु– निर्वाचन आयोगले आगामी फागुन २१ गते हुने प्रतिनिधि सभाको निर्वाचनमा भोट खसाल्ने मतदाताको संख्या सार्वजनिक गरेको छ ।
आयोगले ७७ जिल्लाका १६५ निर्वाचन क्षेत्रका मतदाताको विवरण सार्वजनिक गरेको हो ।
देशभर एक कराड ८९ लाख तीन हजार ६८९ मतदाता रहेका छन्। आयोगले फागुन २० गतेसम्म १८ वर्ष पूरा हुने नागरिकलाई मतदातामा समावेश गरेको छ।
सूची अनुसार, सबैभन्दा बढी रामेछापमा एक लाख ८७ हजार ९५२ मतदाता रहेका छन्। सबैभन्दा कम मनाङमा ७ हजार मतदाता रहेका छन्।
सबैभन्दा धेरै मतदाता रहेको रामेछाप र सबैभन्दा कम मतदाता रहेको मनाङमा एउटै निर्वाचन क्षेत्र रहेको छ।








प्रतिक्रिया