काठमाडौँ – नेकपाको राष्ट्रिय युवा संघले एकताले पूर्णता पाएको छ। तत्कालीन एमालेनिकट रहेको युवा संघ नेपाल र माओवादी केन्द्र निकट वाइसिएल नेपालबीचको एकताले पूर्णता पाएको हो।
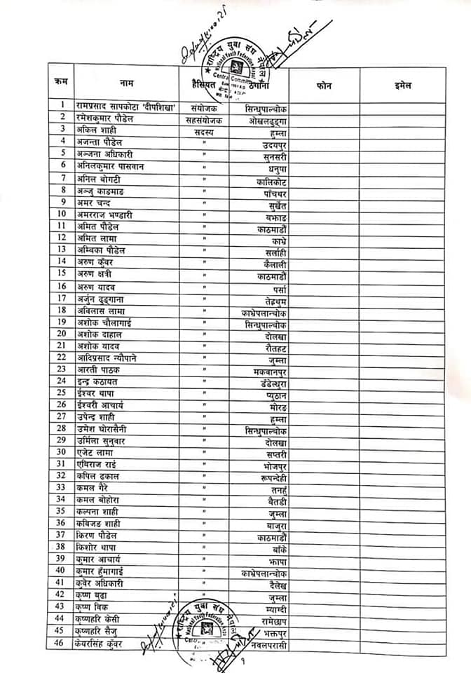
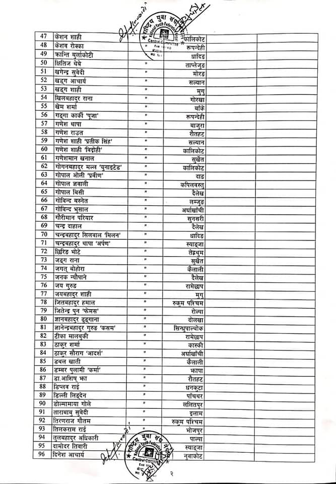
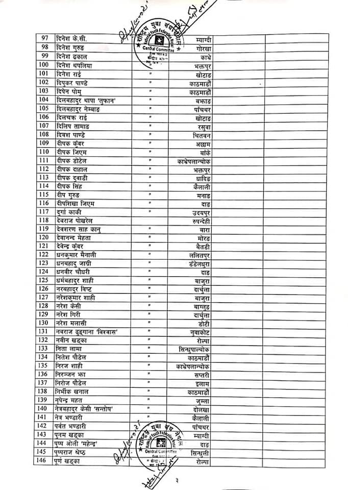
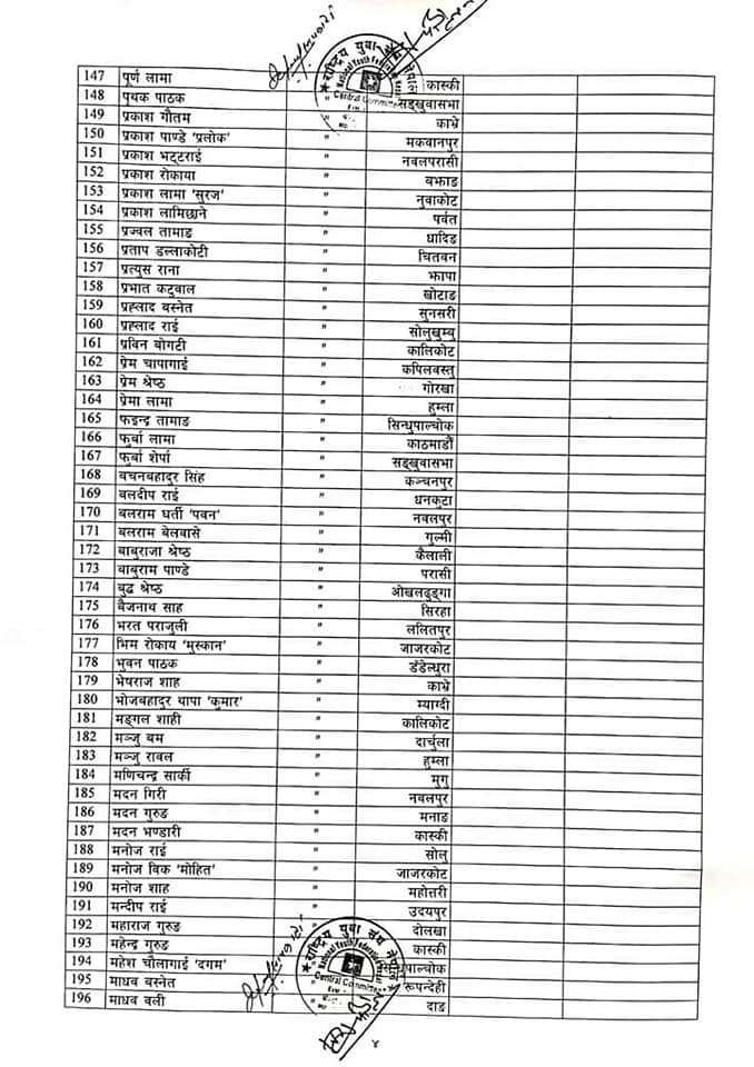
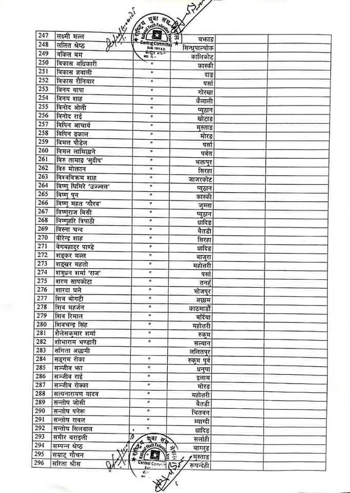
युवा संघको संयोजक रामप्रसाद सापकोटा ‘दीपशिखा’ पूर्व माओवादीबाट र सहसंयोजक रमेश पौडेल पूर्व एमालेबाट हुने सहमति भएअनुसार युवा संघको बुधबार बसेको बैठकले तीन सय ३२ सदस्यीय केन्द्रीय सदस्यको टुंगो लगाएको हो।साविक वाइसिएल नेपालबाट १५३ जना र साविक युवा संघ नेपालबाट १७९ जना चयन गरी नयाँ केन्द्रिय समिति चयन गरेको हो ।
संघका संयोजक राम प्रसाद सापकोटा ‘दीपशिखा’ र सहसंयोजक रमेश कुमार पौडेलले जारी गरेको विज्ञप्ती अनुसार रिक्त हुन आएको ३ सदस्य साविक वाइसिएलले पछि मनोनित गर्ने बताइएको छ । साथै सगठनले कात्तिक १८ र १९ केन्द्रिय समितिको बैठक आव्हान गरेको छ भने २० र २१ गते राष्ट्रिय भेला समेत बोलाएको छ ।











प्रतिक्रिया